Cinemática 2



Segunda equação:

silencio

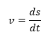
A velocidade é a derivada do espaço dividida pela derivada do tempo.

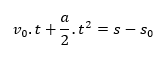
Arrumando a equação fica:

silencio

O que é uma equação diferencial, logo, integrando-a, nós temos:

silencio

Substituindo o valor de silencio na equação, nós temos:

silencio

Como nós trabalhamos com acelerações constantes, a velocidade inicial é uma constante e o instante inicial é igual a zero, nós temos:

silencio

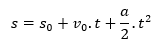
Logo,

silencio

Que é a equação de espaço, ou seja, o espaço do corpo, é o espaço inicial dele, mais a velocidade inicial dele vezes o tempo, mais a aceleração dele dividida por dois, vezes o tempo ao quadrado. Não se preocupe com os resultados das equações integrais, pois elas fogem do ensino médio.



silencio Silêncio
Copyright © 2017-2026 Bruno Piovesan Balestrini