Cinemática 3



Terceira equação:

silencio

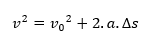
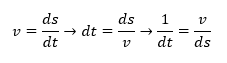
Logo,

silencio

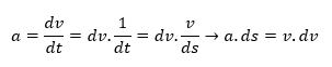
Integrando, nós temos:

silencio

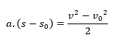
Que fica:

silencio

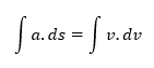
Logo,

silencio

Portanto,

silencio

Perceba que a terceira equação não depende do tempo?

Ela é conhecida como equação de Torricelli.



silencio Silêncio
Copyright © 2017-2026 Bruno Piovesan Balestrini