Nessa parte de cinemática, eu irei mostrar as três principais equaçães que nós temos.
Primeira equação:
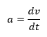
A aceleração é a derivada da velocidade pela derivada do tempo.
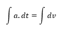
Arrumando a equação ela fica:
O que é uma equação diferencial, logo, integrando-a, nós temos:
Como nós trabalhamos com acelerações constantes, fica:
Considerando que nós partimos de um instante inicial nulo, ou seja,

Logo:
Ou,
Então, a velocidade de um corpo será a velocidade que ele tinha em um instante inicial zero mais a aceleração dele vezes o tempo.
Silêncio